2. Пример на введение новых переменных
Введение новых переменных позволяет упростить исходную систему. Рассмотрим в качестве примера систему, которая предлагалась на вступительном экзамене в 1979 г. в МГУ на механико-математический факультет.
Пример 1. Решить систему
Решение.
Полезно ввести новые переменные
Довольно сложная исходная система свелась к более простой. Это система двух линейных уравнений относительно a и b. Решим ее методом алгебраического сложения, вычтем из первого уравнения второе.
Мы ввели новые переменные и решили систему относительно этих переменных. Возвращаемся к старым переменным.
Мы получили вторую систему двух линейных уравнений относительно x и y.
Решим систему методом подстановки.
Ответ:
Решение системы линейных уравнений по формулам Крамера
Чтобы решить систему линейных уравнений методом Крамера, нужно познакомиться с понятием определителя.
Определение
Определителем системы называют запись чисел в квадратной таблице, в соответствие которой ставится число по некоторому правилу.
Давайте познакомимся с этим правилом. Пусть даны четыре числа a, b, c, d. Пусть они имеют следующее расположение в квадратной таблице:
Значение определителя системы в этом случае находится по формуле:
Определитель, составленный из коэффициентов при переменных в линейной системе уравнений, называется главным определителем системы. Будем обозначать его Δ. Например, у рассмотренной выше системы уравнений:
главный определитель будет иметь вид:
Найдём его значение:
Для решения системы линейных уравнений методом Крамера нам понадобятся ещё два определителя, которые называются вспомогательными:
Отметим, что в данные определители уже входят правые части каждого уравнения системы. Так, в определитель Δₓ первым столбцом записываем правые части уравнений (так называемые свободные члены уравнений), второй столбец оставляем таким же, как в главном определителе системы. В определитель Δу вторым столбцом записываем правые части уравнений, а первый столбец оставляем таким же, как в главном определителе системы.
Итак, формулы Крамера для решения системы двух линейных уравнений с двумя переменными:
Отметим, что данный метод решения СЛАУ можно применять лишь в тех случаях, когда Δ ≠ 0.
Убедимся в том, что данные формулы работают, подставив в них ранее найденные значения определителей:
Пара чисел (4;3) действительно является решением данной системы уравнений.
Обобщим алгоритм нахождения решений системы двух линейных уравнений с двумя переменными методом Крамера. Пусть дана система линейных уравнений:
Нужно:
- Вычислить главный определитель системы
- Вычислить вспомогательные определители
Примеры задач, сводящихся к решению систем линейных алгебраических уравнений.
Чтобы показать большую практическую значимость решения систем линейных алгебраических уравнений, разберем несколько задач из различных разделов математики, которые сводятся к решению СЛАУ.
Пример.
Представьте дробно рациональное выражение в виде суммы простейших дробей.
Решение.
Очень подробно решение подобных примеров разобрано в разделе разложение дроби на простейшие.
Разложим многочлен, находящийся в знаменателе, на множители (при необходимости смотрите статью разложение многочлена на множители). Очевидно, что x = 0 и x = 1 являются корнями этого многочлена. Частным от деления на является . Таким образом, имеем разложение и исходное выражение примет вид .
Воспользуемся методом неопределенных коэффициентов.
Приравняв соответствующие коэффициенты числителей, приходим к системе линейных алгебраических уравнений . Ее решение даст нам искомые неопределенные коэффициенты А, В, С и D.
Решим систему методом Гаусса:
При обратном ходе метода Гаусса находим D = 0, C = -2, B = 1, A = 1.
Получаем,
Ответ:
.
Некогда разбираться?
Общие сведения
Уравнением является любое математическое тождество или физический закон, в котором присутствуют неизвестные величины. Последние необходимо находить. Этот процесс называется поиском корней. Однако не во всех случаях у равенства с переменными бывают решения, а это также нужно доказать.

Корень — величина или диапазон, превращающие искомое выражение в верное равенство. Например, в 5s=10 переменная эквивалентна 2, поскольку только это значение позволяет получить верное тождество, то есть 5*2=10.
Примером диапазона или интервала решений является выражение следующего вида: 0/t=0. Его корнем может быть любое действительное число, кроме нуля. Записывается решение в таком виде: t ∈ (-inf;0)U (0;+inf), где «∈» — знак принадлежности, «-inf» и «inf» — минус и плюс бесконечно большие числа соответственно.
Параметром в уравнении называется некоторая величина, от которой зависит поведение равенства на определенном интервале. Следует отметить, что он также влияет на значение корня, когда входит с ним в различные арифметические операции: сложения, вычитания, умножения, деления, возведения в степень и так далее. Тождества такого типа называют также параметрическими. Далее необходимо разобрать классификацию уравнений.
Решение задач методом домножения на коэффициент
Пример № 1
\
Мы видим, что ни при $x$, ни при $y$ коэффициенты не только не взаимно противоположны, но и вообще никак не соотносятся с другим уравнением. Эти коэффициенты никак не исчезнут, даже если мы сложим или вычтем уравнения друг из друга. Поэтому необходимо применить домножение. Давайте попытаемся избавиться от переменной $y$. Для этого мы домножим первое уравнение на коэффициент при $y$ из второго уравнения, а второе уравнение — при $y$ из первого уравнения, при этом не трогая знак. Умножаем и получаем новую систему:
\
Смотрим на нее: при $y$ противоположные коэффициенты. В такой ситуации необходимо применять метод сложения. Сложим:
\
\
Теперь необходимо найти $y$. Для этого подставим $x$ в первое выражение:
\
\
\
\
Ответ: $\left( 4;-2 \right)$.
Пример № 2
\
Вновь коэффициенты ни при одной из переменных не согласованы. Домножим на коэффициенты при $y$:
\
\
Наша новая система равносильна предыдущей, однако коэффициенты при $y$ являются взаимно противоположными, и поэтому здесь легко применить метод сложения:
\
\
Теперь найдем $y$, подставив $x$ в первое уравнение:
\
\
\
\
Ответ: $\left( -2;1 \right)$.
Нюансы решения
Ключевое правило здесь следующее: всегда умножаем лишь на положительные числа — это избавит вас от глупых и обидных ошибок, связанных с изменением знаков. А вообще, схема решения довольно проста:
- Смотрим на систему и анализируем каждое уравнение.
- Если мы видим, что ни при $y$, ни при $x$ коэффициенты не согласованы, т.е. они не являются ни равными, ни противоположными, то делаем следующее: выбираем переменную, от которой нужно избавиться, а затем смотрим на коэффициенты при этих уравнениях. Если первое уравнение домножим на коэффициент из второго, а второе, соответственное, домножим на коэффициент из первого, то в итоге мы получим систему, которая полностью равносильна предыдущей, и коэффициенты при $y$ будут согласованы. Все наши действия или преобразования направлены лишь на то, чтобы получить одну переменную в одном уравнении.
- Находим одну переменную.
- Подставляем найденную переменную в одно из двух уравнений системы и находим вторую.
- Записываем ответ в виде координаты точек, если у нас переменные $x$ и $y$.
Но даже в таком нехитром алгоритме есть свои тонкости, например, коэффициенты при $x$ или $y$ могут быть дробями и прочими «некрасивыми» числами. Эти случаи мы сейчас рассмотрим отдельно, потому что в них можно действовать несколько иначе, чем по стандартному алгоритму.
Системы из двух линейных уравнений с двумя неизвестными
Определение 3. Системой из двух линейных уравнений с двумя неизвестными x и y называют систему уравнений, имеющую вид
| (4) |
где a1 , b1 , c1 , a2 , b2 , c2 – заданные числа.
Определение 4. В системе уравнений (4) числа a1 , b1 , a2 , b2 называют коэффициентами при неизвестных, а числа c1 , c2 – свободными членами.
Определение 5. Решением системы уравнений (4) называют пару чисел (x ; y) , являющуюся как одного, так и другого уравнения системы (4).
Определение 6. Две системы уравнений называют равносильными (эквивалентными), если все решения первой системы уравнений являются решениями второй системы, и все решения второй системы являются решениями первой системы.
Равносильность систем уравнений обозначают, используя символ «»
Системы линейных уравнений решают с помощью метода последовательного исключения неизвестных, который мы проиллюстрируем на примерах.
Пример 2 . Решить систему уравнений
| (5) |
Решение. Для того, чтобы решить систему (5) исключим из второго уравнения системы неизвестное х.
С этой целью сначала преобразуем систему (5) к виду, в котором коэффициенты при неизвестном x в первом и втором уравнениях системы станут одинаковыми.
Если первое уравнение системы (5) умножить на коэффициент, стоящий при x во втором уравнении (число 7 ), а второе уравнение умножить на коэффициент, стоящий при x в первом уравнении (число 2 ), то система (5) примет вид
| (6) |
Теперь совершим над системой (6) следующие преобразования:
- первое уравнение системы оставим без изменений;
- из второго уравнения вычтем первое уравнение и заменим второе уравнение системы на полученную разность.
В результате система (6) преобразуется в ей систему
Из второго уравнения находим y = 3 , и, подставив это значение в первое уравнение, получаем
Ответ. (–2 ; 3) .
Пример 3. Найти все значения параметра p , при которых система уравнений
| (7) |
а) имеет единственное решение;
б) имеет бесконечно много решений;
в) не имеет решений.
Решение. Выражая x через y из второго уравнения системы (7) и подставляя полученное выражение вместо x в первое уравнение системы (7), получим



Следовательно, система (7) системе
| (8) |
Исследуем решения системы (8) в зависимости от значений параметра p . Для этого сначала рассмотрим первое уравнение системы (8):
| y (2 – p) (2 + p) = 2 + p | (9) |
Если , то уравнение (9) имеет единственное решение
Следовательно, система (8) системе
Таким образом, в случае, когда , система (7) имеет единственное решение
Если p = – 2 , то уравнение (9) принимает вид
,
и его решением является любое число . Поэтому решением системы (7) служит бесконечное множество всех пар чисел
,
где y – любое число.
Если p = 2 , то уравнение (9) принимает вид
и решений не имеет, откуда вытекает, что и система (7) решений не имеет.
Как решать простые уравнения
Чтобы научиться решать простые линейные уравнения, нужно запомнить формулу и два основных правила.
1. Правило переноса. При переносе из одной части в другую, член уравнения меняет свой знак на противоположный.
Для примера рассмотрим простейшее уравнение: x+3=5
Начнем с того, что в каждом уравнении есть левая и правая часть.
Перенесем 3 из левой части в правую и меняем знак на противоположный.
Можно проверить: 2 + 3 = 5. Все верно. Корень равен 2.
Решим еще один пример: 6x = 5x + 10.
Как решаем:
-
Перенесем 5x из правой части в левую. Знак меняем на противоположный, то есть на минус.
6x −5x = 10
-
Приведем подобные и завершим решение.
x = 10
Ответ: x = 10.
2. Правило деления. В любом уравнении можно разделить левую и правую часть на одно и то же число. Это может ускорить процесс решения. Главное — быть внимательным, чтобы не допустить глупых ошибок.
Применим правило при решении примера: 4x=8.
При неизвестной х стоит числовой коэффициент — 4. Их объединяет действие — умножение.
Чтобы решить уравнение, нужно сделать так, чтобы при неизвестной x стояла единица.
Разделим каждую часть на 4. Как это выглядит:
Теперь сократим дроби, которые у нас получились и завершим решение линейного уравнения:
Рассмотрим пример, когда неизвестная переменная стоит со знаком минус: −4x = 12
Как решаем:
- Разделим обе части на −4, чтобы коэффициент при неизвестной стал равен единице.
−4x = 12 | : (−4)
x = −3
Ответ: x = −3.
Если знак минус стоит перед скобками, и по ходу вычислений его убрали — важно не забыть поменять знаки внутри скобок на противоположные. Этот простой факт позволит не допустить обидные ошибки, особенно в старших классах
Напомним, что не у каждого линейного уравнения есть решение — иногда корней просто нет. Изредка среди корней может оказаться ноль — ничего страшного, это не значит, что ход решения оказался неправильным. Ноль — такое же число, как и остальные.
Способов решения линейных уравнений немного, нужно запомнить только один алгоритм, который будет эффективен для любой задачки.
| Алгоритм решения простого линейного уравнения |
|---|
|
Чтобы быстрее запомнить ход решения и формулу линейного уравнения, скачайте или распечатайте алгоритм — храните его в телефоне, учебнике или на рабочем столе.
График уравнения с двумя переменными
Очень часто ур-ние с 2 переменными имеет бесконечное число решений. Их удобно изображать в виде графика, ведь каждой паре чисел (х1; у1) соответствует точка на координатной плоскости с координатами х1 и у1.

Проще всего строить график уравнения с двумя переменными в том случае, когда удается выразить переменную у через х. Например, пусть надо построить график ур-ния
6х + 3у = 9
Выразим неизвестную величину у через х, то есть попытаемся получить ф-цию у = у(х):
6х + 3у = 9
3у = 9 – 6х
у = 3 – 2х
Построим график ф-ции у = 3 – 2х. Он одновременно будет являться и графиком ур-ния 6х + 3у = 9:

Не всегда можно так преобразовать ур-ние, чтобы получилась ф-ция у = у(х). Действительно, по определению функции, каждому значению аргумента должно соответствовать только одно значение ф-ции. Однако рассмотрим пример ур-ния
х – у2 = 0
Можно убедиться, что его обращают в верное рав-во пары чисел (1; 1) и (1; – 1):
12 – 12 = 0
12 – (– 1)2 = 0
Получается, что одному значению х(х = 1) соответствует сразу 2 значения у (у = 1 и у = –1). Это значит, что графиком такого ур-ния не может являться ф-ция у = у(х)
В данном случае возможно выразить х через у. Перенесем слагаемое у2 вправо:
х = у2
Получили «перевернутую ф-цию» х = х(у), где не у зависит от х, а х от у. Ф-ция является квадратичной, а потому ее графиком будет парабола:

Так как х и у в ф-ции поменялись местами, то ось параболы стала не вертикальной, а горизонтальной.
Встречаются случаи, когда из ур-ния невозможно получить ни ф-цию у(х), ни ф-цию х(у). Рассмотрим ур-ние
х2 + у2 = 25
Его решениями являются пары чисел (0; 5) и (0; – 5). То есть значению х = 0 соответствует два значения у (5 и – 5), поэтому не получиться записать ф-цию у(х). С другой стороны, решениями ур-ния являются также пары (5; 0) и (– 5; 0), то есть значению у = 0 также соответствует два значения х (– 5 и 5), поэтому и записать ф-цию х(у) не удастся. Вообще данное ур-ние является частным случаем ур-ния
х2 + у2 = R2
где R– некоторое постоянное число, или параметр. Оно называется уравнением окружности, потому что его графиком как раз и является окружность.

Докажем это утверждение. Пусть на координатной плоскости есть точка А с произвольными координатами (х; у):

Опустим из А перпендикуляр на ось Ох в точку В. Получили прямоугольный треугольник ОАВ. Его катет ОВ равен у, а катет АВ = х. По теореме Пифагора можно найти длину гипотенузы ОА, которая и является расстоянием от О до А:
ОА2 = ОВ2 + АВ2 = х2 + у2
Окружность радиусом R– это множество точек, удаленных от центра на расстояние R. То есть расстояние ОА равно R, то точка А лежит на окружности радиусом R c центром в О:
х2 + у2 = ОА2 = R2
Таким образом, координаты любой точки, лежащей на расстоянии Rот центра, удовлетворяют ур-нию
х2 + у2 = R2
В частности, графиком ур-ния
х2 + у2 = 25
является окружность с радиусом 5 (так как 25 = 52)

Решение системы линейных уравнений с помощью обратной матрицы
Матрицей системы линейных уравнений называется таблица, составленная из коэффициентов при переменных. Так, для системы вида:
матрицей A является:
Столбцом свободных коэффициентов будем называть
а столбцом переменных —
Тогда систему уравнений можно переписать в виде:
Поясним, как происходит умножение матрицы на столбец. В матрице A есть строки: (а₁₁, а₁₂) и (а₂₁, а₂₂) а также столбцы (а₁₁, а₂₁) и (а₁₂, а₂₂).
При умножении матрицы на столбец X получается столбец, а само умножение происходит по следующему правилу:
Для нахождения обратной матрицы, которая обозначается как А⁻¹ , нам потребуется умение находить определитель матрицы, что подробно описано в разделе «Решение системы линейных уравнений по формулам Крамера», и умение находить транспонированную матрицу T. Для того чтобы записать матрицу, транспонированную к данной, нужно лишь поменять столбцы и строки местами. Например, для матрицы A транспонированной будет матрица:
Рассмотрим алгоритм поиска обратной матрицы:
1) вычислить определитель матрицы A:
2) записать матрицу миноров M. Для этого нужно просто переставить числа в матрице A следующим образом:
3) записать матрицу алгебраических дополнений А ͙. Для этого необходимо лишь поменять знаки коэффициентов а₁₂ и а₂₁ в матрице миноров M, в результате чего получим:
записать матрицу, транспонированную к матрице алгебраических дополнений:
найти обратную матрицу А⁻¹, разделив каждый элемент матрицы Аᵀ ͙ на значение определителя матрицы A, то есть
Для нахождения неизвестных нужно полученную обратную матрицу А⁻¹ умножить на столбец свободных коэффициентов:
Поясним всё на примере решения системы линейных уравнений с двумя переменными:
столбец свободных коэффициентов:
Следуя алгоритму решения СЛАУ, найдём обратную матрицу А⁻¹:
1) определитель матрицы A равен
2) матрица миноров:
3) матрица алгебраических дополнений:
4) матрица, транспонированная к матрице алгебраических дополнений:
5) обратная матрица:
Теперь умножим найденную обратную матрицу на столбец свободных коэффициентов:
Пара чисел (1;2) является решением данной системы уравнений.
Линейное уравнение с двумя переменными
Уравнение вида ax + by + c = 0 называется линейным уравнением с двумя переменными x и y, где a, b, c — числа.
Решением этого уравнения называют любую пару чисел (x; y), которая соответствует этому уравнению и обращает его в верное числовое равенство.
|
Теорема, которую нужно запомнить: если в линейном уравнение есть хотя бы один не нулевой коэффициент при переменной — его графиком будет прямая линия. |
Вот алгоритм построения графика ax + by + c = 0, где a ≠ 0, b ≠ 0:
-
Дать переменной 𝑥 конкретное значение x = x₁, и найти значение y = y₁ при ax₁ + by + c = 0.
-
Дать x другое значение x = x₂, и найти соответствующее значение y = y₂ при ax₂ + by + c = 0.
-
Построить на координатной плоскости xy точки: (x₁; y₁); (x₂; y₂).
-
Провести прямую через эти две точки и вуаля — график готов.
Нужно быстро привести знания в порядок перед экзаменом? Записывайтесь на курсы ЕГЭ по математике в Skysmart!
Описание алгоритма решений
Приведем алгоритм для решения системы линейных уравнений:
- Привести каждое уравнение системы к виду y=a1x+a2, то есть выразить зависимую переменную y через независимую x.
- Задать координатные оси Y и X, начало координат и единичный отрезок.
- Построить графики прямых, заданных уравнениями системы. Для этого необходимо задавать значение x и вычислять значение y. Каждому уравнению будет соответствовать одна прямая.
- Найти точку или множество точек, где пересекаются все прямые системы.
- Проверить решение, подставив полученные координаты в каждое из уравнений системы.
- Записать решение системы уравнений в виде точек или точки с указанием координат.
В случае нелинейных уравнений:
- Привести уравнения системы к виду y=f(x).
- Задать координатные оси, начало координат и единичный отрезок.
- Построить кривые, заданные уравнениями системы. Иногда при построении графика кривой удобно сначала отыскать точку ее вершины, например, в случае параболы.
- Найти точку или множество точек, где пересекаются все кривые системы.
- Проверить полученное решение. Для этого подставить координаты точек в каждое уравнение системы и убедиться в соблюдении равенства.
- Записать решение в виде точек или точки с указанием координат.
Классификация уравнений
Уравнения делятся на определенные виды, от которых зависит выбор методики их решения. Они бывают следующими: алгебраическими, дифференциальными, функциональными, трансцендентными и тригонометрическими. Кроме того, все они могут содержать некоторую величину — параметр. Его часто обозначают литерой «р» или «а».
Алгебраический тип является наиболее простым, поскольку не содержит сложные элементы. Дифференциальные тождества с неизвестными — одни из самых сложных выражений с точки зрения алгоритма. Они бывают первого, второго, третьего, а также высших порядков. Для нахождения их корней необходимо знать правила дифференцирования и интегрирования.
Практически все функциональные уравнения содержат один или более параметров. Основное их отличие от остальных заключается в функции, которая задается сложным выражением. Последнее может включать несколько неизвестных и параметрических элементов. Примером такого тождества является функция Лапласа, содержащая интеграл обыкновенного типа, а также экспоненту.

К трансцендентным относятся выражения, содержащие показательную, логарифмическую и радикальную (знак корня). Последний тип — тригонометрические. Они содержат любое равенство, содержащее следующие функции: sin, cos, tg и ctg. Однако в математике встречаются также их производные: arcsin, arccos, arcctg, arctg и гиперболические тождества.
Решение систем уравнений графическим способом
К используемым для решения системы уравнений способам относят:
- алгебраический (аналитический);
- графический.
Остановимся на графическом методе. Суть его заключается в построении графиков кривых, заданных уравнениями системы, и поиском точек их пересечения.
Система может представлять множество линейных и нелинейных уравнений.
При решении системы уравнений возможны следующие случаи:
- система имеет одно или несколько решений, то есть графики пересекаются в одной или нескольких точках;
- система не имеет решения. Графики в этом случае параллельны;
- система имеет бесконечное множество решений, то есть графики совпадают.
Как решать систему уравнений алгебра 7 класс
Системой называют несколько уравнений, в которых нужно найти такие значения неизвестных, чтобы равенство сохранилось. Разберемся на примерах, как выглядят системы и какие методы их решения существуют.
метод подстановки
Из самого названия следует, что алгоритм требует что-то подставлять. Ниже представлена система, где нужно найти значения x и y.
Алгоритм решения:
Смотрим на систему. Видим, что удобнее будет выразить x во втором уравнении (так как он один). Выражаем путем переноса за знак «равно» 12y. Получилось: x = 11 — 12y (не забываем менять знак при переносе числа).
В первое уравнение вместо «x» записываем получившееся выражение. Меняем только x, остальное сохраняется в прежнем виде.
Далее преобразуем уравнение, в которое поместили выражение. Раскрываем скобки (перемножаем 5 на каждое значение). y оставляем в левой части, числа переносим в правую, знаки меняем. Таким образом нашли значение y (y = 1).
Теперь подставляем полученную единицу во второе уравнение (x = 11 — 12y).
метод сложения
Чтобы решить систему методом сложения, нужно из двух уравнений сделать одно. Просто складываем первое и второе. Здесь «y» просто сократились, и получилось простое уравнение. Как только нашли значение «х», нужно подставить его в любой пример (здесь поставили во второе уравнение). В ответе пишется так: (4; 3) — первым всегда пишется х, затем у.
графический метод
У нас есть система, где y = 5x и y = -2x + 7. Рассмотрим алгоритм решения системы уравнений:
- Подбираем 2 числа для х. Мы взяли 0 и 1, подставляем в первое уравнение: y = 5 * 0 = 0; у = 5 * 1 = 5. Значит первая прямая имеет координаты: (0; 0) и (1; 5).
- Для второго уравнения подбираем значения х. Взяли 3 и 2, подставляем и находим у: -2 * 3 + 7 = 1; -2 * 2 + 7 = 3. Значит прямая имеет координаты (3; 1) и (2; 3).
- Отмечаем на графике соответствующие прямые, подписываем их название.
- на месте пересечения получившихся прямых ставим точку — это будет решение.
- Точка имеет координаты (1; 5).
Выбирайте самый удобный способ решения. Третий метод — графический, считают самым неточным.
Решение задач
Разберем примеры решения систем уравнений.
Задание 1. Как привести уравнение к к стандартному виду ах + by + c = 0?
5x − 8y = 4x − 9y + 3
Как решаем:
-
5x − 8y = 4x − 9y + 3
-
5x − 8y − 4x + 9y = 3
-
x + y = 3
Задание 2. Как решать систему уравнений способом подстановки
Как решаем:
-
Выразить у из первого уравнения:
-
Подставить полученное выражение во второе уравнение:
-
Найти соответствующие значения у:
Ответ: (2; −1), (−1; 2).
Задание 3. Как решать систему уравнений методом сложения
Как решаем:
- Решение систем линейных уравнений начинается с внимательного просмотра задачи. Заметим, что можно исключить у. Для этого умножим первое уравнение на минус два и сложим со вторым:
- Решаем полученное квадратное уравнение любым способом. Находим его корни:
- Найти у, подставив найденное значение в любое уравнение:
- Ответ: (1; 1), (1; -1).
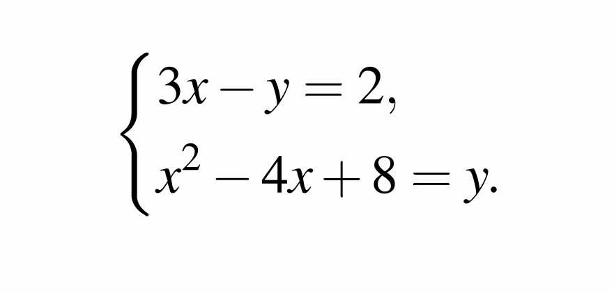
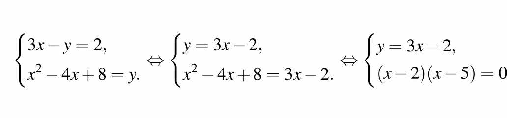
Задание 4. Решить систему уравнений

Как решаем:
Решим второе уравнение и найдем х = 2, х = 5.
Подставим значение переменной х в первое уравнение и найдем соответствующее значение у.

Ответ: (2; 4); (5; 13).
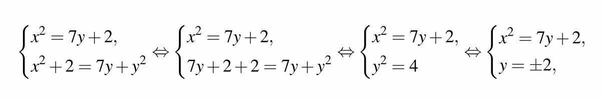
Задание 5. Как решить систему уравнений с двумя неизвестными

Как решаем:
При у = -2 первое уравнение не имеет решений, при у = 2 получается:
Ответ: (-4; 2); (4; 2).
Примеры решения систем уравнений других видов
Пример 8. Решить систему уравнений (МФТИ)
| (12) |
Решение. Введем новые неизвестные u и v , которые выражаются через x и y по формулам:
| (13) |
Для того, чтобы переписать систему (12) через новые неизвестные, выразим сначала неизвестные x и y через u и v . Из системы (13) следует, что
| (14) |
Решим (14), исключив из второго уравнения этой системы переменную x . С этой целью совершим над системой (14) следующие преобразования:
- первое уравнение системы оставим без изменений;
- из второго уравнения вычтем первое уравнение и заменим второе уравнение системы на полученную разность.
В результате система (14) преобразуется в ей систему
из которой находим
| (15) |
Воспользовавшись формулами (13) и (15), перепишем исходную систему (12) в виде
| (16) |


Решая уравнение
2v2 + 3v – 14 = 0 ,
Следовательно, (16) являются две пары чисел
Из формул (13) вытекает, что , поэтому первое решение должно быть отброшено. В случае u2 = 5, v2 = 2 из формул (15) находим значения x и y :
x = 13, y = – 3 .
Ответ: (13 ; – 3)
Определение 6. Решением системы из двух уравнений с тремя неизвестными называют тройку чисел (x ; y ; z) , при подстановке которых в каждое уравнение системы получается верное равенство.
Пример 9. Решить систему из двух уравнений с тремя неизвестными
| (17) |
| (18) |
Перепишем второе уравнение системы (18) в другом виде:
![]()

Поскольку квадрат любого числа неотрицателен, то выполнение последнего равенства возможно лишь в случае x = 4, y = 4 .
Следовательно,
Ответ: (4 ; 4 ; – 4)
Решение системы линейных уравнений методом Гаусса
Этот метод позволяет достаточно легко находить решения систем линейных уравнений, в которых более двух уравнений и неизвестных. По сути, этот метод является обобщением метода подстановки. Итак, как можно решить систему линейных уравнений? Рассмотрим этот способ на примере системы трёх уравнений с тремя неизвестными.
На первом этапе решения систему уравнений необходимо привести к трапециевидной форме, которая выглядит следующим образом:
Для этого нужно провести несложные линейные преобразования с коэффициентами расширенной матрицы системы. Расширенная матрица системы отличается от матрицы системы лишь тем, что она содержит ещё и столбец правых частей уравнений, который записывается справа. Преобразования включают в себя сложение или вычитание строк матрицы, а также умножение элементов строки на число.
Применим данный метод к системе линейных уравнений с тремя переменными:
Расширенная матрица A данной системы принимает вид:
Проводя преобразования строк, нужно добиться того, чтобы в третьей строке расширенной матрицы на первом и втором местах были нули, а во второй строке — нуль на первом месте (возможно, при этом во второй строке будет ещё нуль и на третьем месте).
Вначале вычтем из второй строки матрицы первую строку, умноженную на два, в результате во второй строке окажется два нуля. Затем вычтем из третьей строки первую строку, умноженную на три, в результате чего в третьей строке окажется только один ноль:
С одной стороны, можно остановиться на данном этапе, поменять вторую и третью строку местами, решить систему уравнений, соответствующую полученной расширенной матрице:
С другой стороны, следуя алгоритму решения системы уравнений, необходимо вычесть из третьей строки расширенной матрицы вторую строку и получить два нуля в последней строке матрицы:
Это позволит перейти к решению ещё более простой системы линейных уравнений:
Теперь реализуем обратный ход метода Гаусса: из третьего уравнения системы определим z = 3 , из второго — y = 2. Далее используем метод подстановки и определим значение x:
Итак, решение системы линейных уравнений методом Гаусса: x = 1, y = 2, z = 3.




























